ÌâÄ¿ÄÚÈÝ

£¨11·Ö£©ÈçͼËùÊ¾ÎªÒ»Õæ¿Õʾ²¨¹Ü£¬µç×Ó´ÓµÆË¿K·¢³ö£¨³õËٶȲ»¼Æ£©£¬¾­µÆË¿ÓëA°å¼äµÄ¼ÓËÙµçѹU1¼ÓËÙ£¬´ÓA°åÖÐÐÄ¿×ÑØÖÐÐÄÏßKOÉä³ö£¬È»ºó½øÈëÁ½¿éƽÐнðÊô°åM¡¢NÐÎ³ÉµÄÆ«×ªµç³¡ÖУ¨Æ«×ªµç³¡¿ÉÊÓΪÔÈÇ¿µç³¡£©£¬µç×Ó½øÈëM¡¢N¼äµç³¡Ê±µÄËÙ¶ÈÓëµç³¡·½Ïò´¹Ö±£¬µç×Ó¾­¹ýµç³¡ºó´òÔÚÓ«¹âÆÁÉϵÄPµã¡£ÒÑÖª¼ÓËÙµçѹΪU1£¬M¡¢NÁ½°å¼äµÄµçѹΪU2£¬Á½°å¼äµÄ¾àÀëΪd£¬°å³¤ÎªL1£¬°åÓҶ˵½Ó«¹âÆÁµÄ¾àÀëΪL2£¬µç×ÓµÄÖÊÁ¿Îªm£¬µçºÉÁ¿Îªe¡££¨²»¼ÆÖØÁ¦£©Çó£º

(1)µç×Ó´ÓÆ«×ªµç³¡Éä³öʱµÄ²àÒÆÁ¿£»

(2)Pµãµ½OµãµÄ¾àÀë¡£

(3)µç×Ó´òµ½ÆÁÉÏPµãµÄËÙ¶È

 

¡¾´ð°¸¡¿

£¨1£©£¨2£©£¨3£©

¡¾½âÎö¡¿

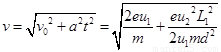
ÊÔÌâ·ÖÎö£º£¨1£©µç×Ó¾­¼ÓËٵ糡¼ÓËٵĹý³Ì£¬¸ù¾Ý¶¯Äܶ¨ÀíÓÐ

½øÈëÆ«×ªµç³¡ºó×öÀàÆ½Å×Ô˶¯£¬Ë®Æ½·½ÏòÔÈËÙÖ±ÏßÔ˶¯

ÊúÖ±·½ÏòÔȼÓËÙÖ±ÏßÔ˶¯£¬¼ÓËÙ¶È

´Óµç³¡Éä³öʱµÄÆ«ÒÆÁ¿¼´ÊúÖ±·½ÏòÎ»ÒÆ

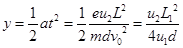
£¨2£©Æ«×ªµç³¡ÖÐΪÀàÆ½Å×Ô˶¯£¬³öµç³¡µÄËÙ¶È·´ÏòÑÓ³¤ÏßÓëË®Æ½Î»ÒÆµÄ½»µãΪÖе㣬¼´´¦£¬ÈçÏÂͼ

¸ù¾ÝËٶȺϳɣ¬ºÏËÙ¶ÈÓëˮƽ·½Ïò¼Ð½Ç

¸ù¾ÝÏÂͼµÄ¼¸ºÎ¹ØÏµÓÐ

ËùÒÔ

£¨3£©µç×ÓÀ뿪ƫתµç³¡ºó×öÔÈËÙÖ±ÏßÔ˶¯£¬ËùÒÔµç×Ó´òµ½ÆÁÉÏPµãµÄËٶȼ´À뿪µç³¡µÄËٶȸù¾ÝËٶȺϳÉÓÐ

¿¼µã£º´øµçÁ£×ÓÔÚ¼ÓËٵ糡ºÍƫתµç³¡ÖеÄÔ˶¯

 

Á·Ï°²áϵÁдð°¸
Ïà¹ØÌâÄ¿

Î¥·¨ºÍ²»Á¼ÐÅÏ¢¾Ù±¨µç»°£º027-86699610 ¾Ù±¨ÓÊÏ䣺58377363@163.com

¾«Ó¢¼Ò½ÌÍø