题目内容
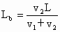
两个小球a、b固定在一根长为L的轻杆两端,绕杆上的轴做匀速圆周运动,如图所示.若小球a的速度为
时b的速度为
,则转轴O到小球b的距离是___________.
![]()
答案:略
解析:
解析:
|
设距离 |
练习册系列答案
相关题目
题目内容
两个小球a、b固定在一根长为L的轻杆两端,绕杆上的轴做匀速圆周运动,如图所示.若小球a的速度为
时b的速度为
,则转轴O到小球b的距离是___________.
![]()
|
设距离 |