题目内容

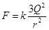
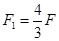
两个分别带有电荷量+Q和-3Q的相同金属小球(均可视为点电荷),固定在相距为r的两处,它们间库仑力的大小为F;现将两小球相互接触后,距离变为r/2固定,此时两球间库仑力的大小为

A.           B.            C.           D.

 

【答案】

B

【解析】

试题分析:第一种情况:,第二种情况,所以:,B正确

考点:本题即考查库仑定律的简单运用,

 

练习册系列答案
相关题目

违法和不良信息举报电话:027-86699610 举报邮箱:58377363@163.com

精英家教网