题目内容
(12分)一质量为m、带电量为+q的粒子以速度v0从O点沿y轴正方向射入一圆形匀强磁场区域,磁场方向垂直纸面向外,粒子飞出磁场区域后,从b处穿过x轴,速度方向与x轴正方向的夹角为30°,同时进入场强大小为大小为E,方向沿x轴负方向成60°角斜向下的匀强电场中,通过了b点正下方c点,如图所示,已知 b到O的距离为L,粒子的重力不计,试求:
![]()
(1)磁感应强度B
(2)圆形匀强磁场区域的最小面积;
(3)c点到b点的距离
【答案】
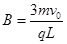
(1)
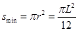
(2)
(3)![]()
【解析】
试题分析:(1)粒子在磁场中受洛仑兹力作用,作匀速圆周运动,设其半径为R,O点即进入磁场开始匀速圆周运动,粒子在磁场中的轨迹的圆心C必在x轴上,且b点速度切线x轴交点为b点,而b点不可能是圆心,所以b点在磁场区之外。过b沿速度方向作延长线,它与y轴相交于d点。
作圆弧过O点与y轴相切,并且与bd相切,切点a即粒子离开磁场区的地点。这样也求得圆弧轨迹的圆心C,如图所示。
由图中几何关系得:L=3R
![]()
匀强磁场中洛伦兹力提供向心力即
,得![]()
带入数据得
![]()
(2)要使磁场的区域有最小面积,则线O
应为磁场区域的直径
![]()
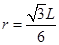
由几何关系知:![]()
得
∴匀强磁场的最小面积为:![]()
(3)带电粒子进入电场后,由于速度方向与电场力方向垂直,故做类平抛运动
![]()
设BC的距离为d,则由运动的合成知识有:
![]()
而![]()
联立解得:![]()
考点:带电粒子在复合场中的运动
练习册系列答案
相关题目
| 3gh1 |
| A、小环通过a、b两点时的速度大小相等 | ||
B、小环通过b点的速率为
| ||
| C、小环在oa之间的速度不断增大 | ||
| D、小环从o到b,电场力做的功可能为零 |