题目内容

一个小石子从离地某一高度处由静止自由落下,在小石子下落通过A点时按动快门对小石子照相得到如图所示的照片,由于小石子的运动,它在照片上留下一条模糊的径迹AB。该爱好者用直尺量出轨迹的长度,如图所示.已知曝光时间为s,重力加速度g=10 m/s2,则小石子出发点离A点约为(  )

A.5 m           B.10 m           C.15 m               D.25 m

 

【答案】

A

【解析】

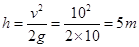
试题分析:由图可知AB的长度为2cm,即0.02m,曝光时间为s,所以AB段的平均速度的大小为,由自由落体的速度位移的关系式 V2=2gh可得,,所以A正确.

考点: 自由落体运动

 

练习册系列答案
相关题目

违法和不良信息举报电话:027-86699610 举报邮箱:58377363@163.com

精英家教网