题目内容

如图,在竖直平面内有一固定光滑轨道,其中AB是长为R的水平直轨道,BCD是圆心为O半径为R的3/4圆形轨道,两轨道相切于B点。在外力作用下,一小球从A点由静止开始做匀加速直线运动,到达B点时撤去外力。已知小球恰好经过最高点C ,重力加速度大小为g ,求

(1)小球在AB段运动的加速度的大小;

(2)小球从D点运动到A点所用的时间。

 

【答案】

(1)(2)

【解析】

试题分析:(1)恰好过C点,在C点为临界速度,

即满足       解得 

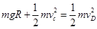
BC段小球机械能守恒:      其中h=2R

解得: 

AB段做匀加速直线运动:           得

(2) CD段机械能守恒        

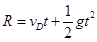
DA段匀加速且加速度为g 有:  

  联立解得: 

考点:本题考查了圆周运动和机械能守恒的相关知识

 

练习册系列答案
相关题目

违法和不良信息举报电话:027-86699610 举报邮箱:58377363@163.com

精英家教网