ÌâÄ¿ÄÚÈÝ

£¨12·Ö£©Èçͼ¼×Ëùʾ£¬Ò»×ã¹»³¤×èÖµ²»¼ÆµÄ¹â»¬Æ½ÐнðÊôµ¼¹ìMN¡¢PQÖ®¼äµÄ¾àÀëL£½1.0m£¬NQÁ½¶ËÁ¬½Ó×èÖµR£½1.0¦¸µÄµç×裬´Å¸ÐӦǿ¶ÈΪBµÄÔÈÇ¿´Å³¡´¹Ö±ÓÚµ¼¹ìËùÔÚÆ½ÃæÏòÉÏ£¬µ¼¹ìÆ½ÃæÓëË®Æ½Ãæ¼äµÄ¼Ð½Ç¦È£½30¡ã¡£Ò»ÖÊÁ¿m=0.20kg£¬×èÖµr=0.50¦¸µÄ½ðÊô°ô´¹Ö±ÓÚµ¼¹ì·ÅÖò¢ÓþøÔµÏ¸Ïßͨ¹ý¹â»¬µÄ¶¨»¬ÂÖÓëÖÊÁ¿M=0.60kgµÄÖØÎïÏàÁ¬¡£Ï¸ÏßÓë½ðÊôµ¼¹ìƽÐС£½ðÊô°ôÑØµ¼¹ìÏòÉÏ»¬ÐеÄËÙ¶ÈvÓëʱ¼ätÖ®¼äµÄ¹ØÏµÈçͼÒÒËùʾ£¬ÒÑÖª½ðÊô°ôÔÚ0¡«0.3sÄÚͨ¹ýµÄµçÁ¿ÊÇ0.3¡«0.6sÄÚͨ¹ýµçÁ¿µÄ2/3£¬g=10m/s2£¬Çó£º

£¨1£©0¡«0.3sÄÚ°ôͨ¹ýµÄÎ»ÒÆ;

£¨2£©½ðÊô°ôÔÚ0¡«0.6sÄÚ²úÉúµÄÈÈÁ¿¡£

 

¡¾´ð°¸¡¿

£¨1£©0.3m £¨2£©0.95J

¡¾½âÎö¡¿

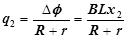
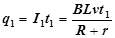
ÊÔÌâ·ÖÎö£º£¨1£©.½ðÊô°ôÔÚ0.3¡«0.6sÄÚͨ¹ýµÄµçÁ¿ÊÇ

½ðÊô°ôÔÚ0¡«0.3sÄÚͨ¹ýµÄµçÁ¿

ÓÉÌâÖеĵçÁ¿¹ØÏµµÃ´úÈë½âµÃ£ºx2=0.3m

£¨2£©½ðÊô°ôÔÚ0¡«0.6sÄÚͨ¹ýµÄ×ÜÎ»ÒÆÎªx=x1+x2=vt1+x2£¬´úÈë½âµÃx=0.75m

¸ù¾ÝÄÜÁ¿Êغ㶨ÂÉ

Mgx-mgxsin¦È-Q=

´úÈë½âµÃ  Q=2.85J

ÓÉÓÚ½ðÊô°ôÓëµç×èR´®Áª£¬µçÁ÷ÏàµÈ£¬¸ù¾Ý½¹¶ú¶¨ÂÉQ=I2Rt£¬µÃµ½ËüÃDzúÉúµÄÈÈÁ¿Óëµç×è³ÉÕý±È£¬ËùÒÔ½ðÊô°ôÔÚ0¡«0.6sÄÚ²úÉúµÄÈÈÁ¿Á¿Qr=

¿¼µã£º±¾Ì⿼²éµç´Å¸ÐÓ¦ÖеÄÄÜÁ¿¹ØÏµ¡£

 

Á·Ï°²áϵÁдð°¸
Ïà¹ØÌâÄ¿

Î¥·¨ºÍ²»Á¼ÐÅÏ¢¾Ù±¨µç»°£º027-86699610 ¾Ù±¨ÓÊÏ䣺58377363@163.com

¾«Ó¢¼Ò½ÌÍø