题目内容

如图所示,边长为a的单匝正方形线圈在磁感强度为B的匀强磁场中,以O边为轴匀速转动,角速度为ω,转轴与磁场方向垂直,线圈电阻为R,求:

(1)交流电的变化规律表达式;

(2)线圈从图示位置转过的过程中产生的热量Q;

(3)线圈从图示位置转过的过程中通过线圈某截面的电量q.

答案:
解析:

  线圈中产生的热量需要从转动过程中交流电的有效值考虑;通过线圈截面的电量需从交流电的平均值考虑.

  (1)因为最大值为,而线圈中垂直中性面开始转动,所以表达式为

  

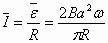
  (2)线圈转动中感应电动势的峰值,感应电流的有效值为

  

  线圈转过的时间,所以在转动过程中产生的热量为

  

  (2)线圈转过过程中的感应电动势和感应电流的平均值分别为

  

  

  所以,在转动过程中流过导体截面的电量为

  


练习册系列答案
相关题目

违法和不良信息举报电话:027-86699610 举报邮箱:58377363@163.com

精英家教网