题目内容
在某市区内,一辆小汽车在平直的公路上以速度VA向东匀速行驶,一位观光旅客正由南北从斑马线上横过马路,汽车司机发现前方有危险(旅客正在D处),经一段反应时间,紧急刹车,但仍将正步行到B处的游客擦伤,该汽车最终在C处停下,为了清晰了解事故现场,现以下图示之;为了判断汽车司机是否超速行驶,警方派一警车以法定的最高速度vm=14.0m/s行驶在同一马路的同一地段,在肇事汽车的起始制动点A紧急刹车,经过x=14.0m后停下来,警车和肇事汽车紧急刹车的加速度相同,在事故现场测得AB=17.5m,BC=14.0m,BD=3.4m,已知游客由D到B的平均速度为v人=2m/s.
问:(1)该肇事汽车的加速度大小是多少?
(2)该肇事汽车的初速度vA是多大?
(3)肇事汽车司机发现有危险到紧急刹车的反应时间是多少?
【答案】分析:(1)警车和肇事汽车紧急刹车的加速度相同,根据速度位移公式
,求出汽车的加速度.
(2)根据速度位移公式
,求出肇事汽车的初速度大小.
(3)人从D到B的时间和肇事汽车发现行人到停止所运行的时间相等,肇事汽车发现行人到停止的时间等于反应时间和匀减速运动的时间,根据匀变速直线运动的位移公式求出汽车匀减速运动的时间,再求出人从D到B的时间,两个时间之差为反应时间.
解答:解:(1)汽车加速度:
故肇事汽车的加速度大小为7m/s2.
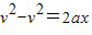
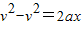
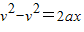
(2)由0-vA2=2axAC=2×(-7)×(17.5+14.0)
得vA=21m/s
故肇事汽车的初速度为21m/s.
(3)设从A到B运动时间为t,
由
m
解得t=1s
由
得人从D到B的时间为t'=1.7s
反应时间为t=t-t=0.7s
故人的反应时间为0.7s.
点评:解决本题的关键掌握匀变速运动的速度位移公式
、位移时间公式
,以及知道人从D到B的时间和肇事汽车发现行人到停止所运行的时间相等.
(2)根据速度位移公式
(3)人从D到B的时间和肇事汽车发现行人到停止所运行的时间相等,肇事汽车发现行人到停止的时间等于反应时间和匀减速运动的时间,根据匀变速直线运动的位移公式求出汽车匀减速运动的时间,再求出人从D到B的时间,两个时间之差为反应时间.
解答:解:(1)汽车加速度:
故肇事汽车的加速度大小为7m/s2.
(2)由0-vA2=2axAC=2×(-7)×(17.5+14.0)
得vA=21m/s
故肇事汽车的初速度为21m/s.
(3)设从A到B运动时间为t,
由
解得t=1s
由
得人从D到B的时间为t'=1.7s
反应时间为t=t-t=0.7s
故人的反应时间为0.7s.
点评:解决本题的关键掌握匀变速运动的速度位移公式
练习册系列答案
相关题目