题目内容

交流发电机转子有n匝线圈,每匝线圈所围面积为S,匀强磁场的磁感应强度为B,匀速转动角速度为ω,线圈内电阻为r,外电路电阻为R。当线圈由图中实线位置匀速转动90°到达虚线位置过程中,求:通过R的电荷量q为多少?

 

【答案】

【解析】

试题分析:

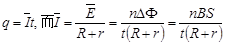
按照电流的定义I=q/t,计算电荷量q应该用电流的平均值:即

考点:正弦式电流的最大值和有效值、周期和频率

点评:本题要求知道:计算电荷量q应该用电流的平均值;求电热应该用有效值.

 

练习册系列答案
相关题目

违法和不良信息举报电话:027-86699610 举报邮箱:58377363@163.com

精英家教网