题目内容

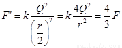
两个分别带有电荷量-Q和+3Q的相同金属小球(均可视为点电荷),固定在相距为r的两处,它们间库仑力的大小为F,两小球相互接触后将其固定距离变为,则两球间库仑力的大小为(  )

A.F    B.12F    C.F   D.F

 

【答案】

D

【解析】

试题分析:根据库仑定律得,两小球接触后,电荷均分,各带电荷量:,两球间的库仑力为,所以只有选项D正确;

考点:库仑定律

 

练习册系列答案
相关题目

违法和不良信息举报电话:027-86699610 举报邮箱:58377363@163.com

精英家教网