ÌâÄ¿ÄÚÈÝ
¾Ý¹ú¼Òº½Ìì¾Ö¼Æ»®£¬2006ÄêÄÚ½«Æô¶¯¡°æÏ¶ð±¼Ô¡±¹¤³Ì£¬½ìʱ½«·¢ÉäÒ»ËÒÈÆÔÂÇò·ÉÐеķɴ¬£®ÉèÁíÓÐÒ»ËÒÈÆµØÇò·ÉÐеķɴ¬£¬ËüÃǶ¼ÑØÔ²ÐιìµÀÔËÐв¢ÇÒÖÊÁ¿ÏàµÈ£¬ÈƵØÇò·ÉÐеķɴ¬¹ìµÀ°ë¾¶µÄÊÇÈÆÔÂÇò·ÉÐеķɴ¬µÄ¹ìµÀ°ë¾¶4±¶£®ÒÑÖªµØÇòÖÊÁ¿ÊÇÔÂÇòÖÊÁ¿µÄ81±¶£¬ÔòÈÆµØÇò·ÉÐеķɴ¬ÓëÈÆÔÂÇò·ÉÐеķɴ¬Ïà±È½Ï £¨ £©A£®ÖÜÆÚÖ®±ÈΪ8£º9
B£®½ÇËÙ¶ÈÖ®±ÈΪ9£º2
C£®ÏòÐļÓËÙ¶ÈÖ®±ÈΪ6£º1
D£®¶¯ÄÜÖ®±ÈΪ81£º16
¡¾´ð°¸¡¿·ÖÎö£ºÑо¿Ì½²âÆ÷ºÍ·É´¬×öÔÈËÙÔ²ÖÜÔ˶¯£¬¸ù¾ÝÍòÓÐÒýÁ¦ÌṩÏòÐÄÁ¦£¬ÁгöµÈʽ±íʾ³öÖÜÆÚ£®
¸ù¾ÝÖÊÁ¿¹ØÏµºÍ°ë¾¶¹ØÏµÕÒ³öÖÜÆÚÖ®±È£¬½ÇËÙ¶ÈÖ®±È£¬ËÙ¶ÈÖ®±ÈºÍÏòÐļÓËÙ¶ÈÖ®±È£®
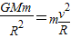
½â´ð£º½â£ºÑо¿·É´¬×öÔÈËÙÔ²ÖÜÔ˶¯£¬¸ù¾ÝÍòÓÐÒýÁ¦ÌṩÏòÐÄÁ¦£¬µÃ£º
A£º
£¬ÖÜÆÚ£º
£¬ËùÒÔ£º
£¬¹ÊAÕýÈ·£»
B£º¦Ø
£¬½áºÏÉϹ«Ê½µÃ£º
£¬¹ÊB´íÎó£»
C£ºÏòÐļÓËÙ¶ÈÓÉÍòÓÐÒýÁ¦Ìṩ£¬µÃ£º
£¬¹Ê£º
£¬¹ÊC´íÎó£»
D£º
£¬µÃµ½£º
£¬¹Ê¶¯ÄÜÖ®±È£º
£¬¹ÊD´íÎó£®
¹ÊÑ¡£ºA
µãÆÀ£ºÇóÒ»¸öÎïÀíÁ¿Ö®±È£¬ÎÒÃÇÓ¦¸Ã°ÑÕâ¸öÎïÀíÁ¿ÏÈÓÃÒÑÖªµÄÎïÀíÁ¿±íʾ³öÀ´£¬ÔÙ¸ù¾Ý±í´ïʽ½øÐбȽϣ®
ÏòÐÄÁ¦µÄ¹«Ê½Ñ¡È¡Òª¸ù¾ÝÌâÄ¿ÌṩµÄÒÑÖªÎïÀíÁ¿»òËùÇó½âµÄÎïÀíÁ¿Ñ¡È¡Ó¦Óã®
¸ù¾ÝÖÊÁ¿¹ØÏµºÍ°ë¾¶¹ØÏµÕÒ³öÖÜÆÚÖ®±È£¬½ÇËÙ¶ÈÖ®±È£¬ËÙ¶ÈÖ®±ÈºÍÏòÐļÓËÙ¶ÈÖ®±È£®
½â´ð£º½â£ºÑо¿·É´¬×öÔÈËÙÔ²ÖÜÔ˶¯£¬¸ù¾ÝÍòÓÐÒýÁ¦ÌṩÏòÐÄÁ¦£¬µÃ£º
A£º
B£º¦Ø
C£ºÏòÐļÓËÙ¶ÈÓÉÍòÓÐÒýÁ¦Ìṩ£¬µÃ£º
D£º
¹ÊÑ¡£ºA
µãÆÀ£ºÇóÒ»¸öÎïÀíÁ¿Ö®±È£¬ÎÒÃÇÓ¦¸Ã°ÑÕâ¸öÎïÀíÁ¿ÏÈÓÃÒÑÖªµÄÎïÀíÁ¿±íʾ³öÀ´£¬ÔÙ¸ù¾Ý±í´ïʽ½øÐбȽϣ®
ÏòÐÄÁ¦µÄ¹«Ê½Ñ¡È¡Òª¸ù¾ÝÌâÄ¿ÌṩµÄÒÑÖªÎïÀíÁ¿»òËùÇó½âµÄÎïÀíÁ¿Ñ¡È¡Ó¦Óã®
Á·Ï°²áϵÁдð°¸
Ïà¹ØÌâÄ¿
¾Ý¹ú¼Òº½Ìì¾Ö¼Æ»®£¬2006ÄêÄÚ½«Æô¶¯¡°æÏ¶ð±¼Ô¡±¹¤³Ì£®½ìʱ½«·¢ÉäÒ»ËÒÈÆÔÂÇò·ÉÐеķɴ¬£¬ÉäÁíÓÐÒ»ËÒÈÆµØÇò·ÉÐеķɴ¬£¬ËüÃǶ¼ÑØÔ²ÐιìµÀÔËÐУ¬²¢ÇÒÖÊÁ¿ÏàµÈ£¬ÈÆÔÂÇò·ÉÐеķɴ¬µÄ¹ìµÀ°ë¾¶ÊÇÈÆµØÇò·ÉÐеķɴ¬µÄ¹ìµÀ°ë¾¶µÄ
£¬ÒÑÖªµØÇòÖÊÁ¿ÊÇÔÂÇòÖÊÁ¿µÄ81±¶£¬ÔòÈÆµØÇò·ÉÐеķɴ¬ÓëÈÆÔÂÇò·ÉÐеķɴ¬Ïà±È½Ï£¨¡¡¡¡£©
| 1 |
| 4 |
| A¡¢ÏòÐļÓËÙ¶ÈÖ®±ÈΪ6£º1 |
| B¡¢ÏßËÙ¶ÈÖ®±ÈΪ9£º2 |
| C¡¢ÖÜÆÚÖ®±ÈΪ8£º9 |
| D¡¢¶¯ÄÜÖ®±ÈΪ81£º4 |