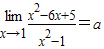
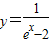
0  77106  77114  77120  77124  77130  77132  77136  77142  77144  77150  77156  77160  77162  77166  77172  77174  77180  77184  77186  77190  77192  77196  77198  77200  77201  77202  77204  77205  77206  77208  77210  77214  77216  77220  77222  77226  77232  77234  77240  77244  77246  77250  77256  77262  77264  77270  77274  77276  77282  77286  77292  77300  266669 

违法和不良信息举报电话:027-86699610 举报邮箱:58377363@163.com

精英家教网