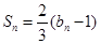
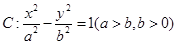
0  76943  76951  76957  76961  76967  76969  76973  76979  76981  76987  76993  76997  76999  77003  77009  77011  77017  77021  77023  77027  77029  77033  77035  77037  77038  77039  77041  77042  77043  77045  77047  77051  77053  77057  77059  77063  77069  77071  77077  77081  77083  77087  77093  77099  77101  77107  77111  77113  77119  77123  77129  77137  266669 

违法和不良信息举报电话:027-86699610 举报邮箱:58377363@163.com

精英家教网