题目内容

设数列{an}是等差数列,数列{bn}的前n项和Sn满足

(Ⅰ)求数列{an}和{bn}的通项公式:

(Ⅱ)设Tn为数列{Sn}的前n项和,求Tn

 

【答案】

(Ⅰ);(Ⅱ).

【解析】

试题分析:(Ⅰ)利用,再结合条件求;(Ⅱ)利用等比数列的求和公式求解.

试题解析:(Ⅰ)由

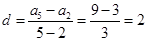
,即

,故.

,公差

.                              (6分)

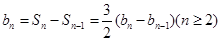
(Ⅱ),所以数列其前项和

.      (12分)

考点:等差数列、等比数列的性质,等比数列的求和公式.

 

练习册系列答案
相关题目

违法和不良信息举报电话:027-86699610 举报邮箱:58377363@163.com

精英家教网