已知数列{an}是等比数列,Sn为其前n项和.
(1)若S4,S10,S7成等差数列,证明a1,a7,a4也成等差数列;
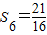
(2)设
,
,bn=λan-n2,若数列{bn}是单调递减数列,求实数λ的取值范围.
0 76571 76579 76585 76589 76595 76597 76601 76607 76609 76615 76621 76625 76627 76631 76637 76639 76645 76649 76651 76655 76657 76661 76663 76665 76666 76667 76669 76670 76671 76673 76675 76679 76681 76685 76687 76691 76697 76699 76705 76709 76711 76715 76721 76727 76729 76735 76739 76741 76747 76751 76757 76765 266669
(1)若S4,S10,S7成等差数列,证明a1,a7,a4也成等差数列;
(2)设