题目内容

已知数列{an}的前n项和Sn满足:Sn=a(Sn-an+1)(a为常数,且a≠0,a≠1).
(1)求{an}的通项公式;
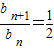
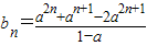
(2)设,若数列{bn}为等比数列,求a的值;
(3)在满足条件(2)的情形下,设cn=4an+1,数列{cn}的前n项和为Tn,若不等式对任意的n∈N*恒成立,求实数k的取值范围.
【答案】分析:(1)当n=1时,S1=a(S1-a1+1),得a1=1.当n≥2时,由(1-a)Sn=-aan+a,得,(1-a)Sn-1=-aan-1+a.故an=aan-1,由此能求出{an}的通项公式.
(2)由,若数列{bn}为等比数列,则有,而,故[a3(2a+1)]2=(2a2)•a4(2a2+a+1),由此能求出a的值.
(3)由,知,故,所以,由不等式恒成立,得恒成立,由此能求出实数k的取值范围.
解答:解:(1)当n=1时,S1=a(S1-a1+1),得a1=1.
当n≥2时,由Sn=a(Sn-an+1),
即(1-a)Sn=-aan+a,①
得,(1-a)Sn-1=-aan-1+a,②
①-②,得(1-a)an=-aan+aan-1
即an=aan-1

∴{an}是等比数列,且公比是a,

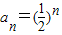
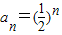
(2)由(1)知,

若数列{bn}为等比数列,
则有

故[a3(2a+1)]2=(2a2)•a4(2a2+a+1),
解得
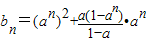
再将代入bn,得
,知{bn}为等比数列,

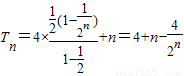
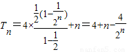
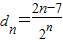
(3)由,知


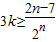
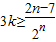
由不等式恒成立,
恒成立,
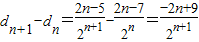
,由
∴当n≤4时,dn+1>dn,当n≥4时,dn+1<dn

∴d4<d5


点评:本题考查数列与不等式的综合,考查运算求解能力,推理论证能力;考查化归与转化思想.对数学思维的要求比较高,有一定的探索性.综合性强,难度大,是高考的重点.解题时要认真审题,仔细解答.
练习册系列答案
相关题目

违法和不良信息举报电话:027-86699610 举报邮箱:58377363@163.com

精英家教网