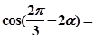
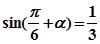
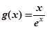
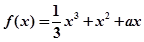
0  74302  74310  74316  74320  74326  74328  74332  74338  74340  74346  74352  74356  74358  74362  74368  74370  74376  74380  74382  74386  74388  74392  74394  74396  74397  74398  74400  74401  74402  74404  74406  74410  74412  74416  74418  74422  74428  74430  74436  74440  74442  74446  74452  74458  74460  74466  74470  74472  74478  74482  74488  74496  266669 

违法和不良信息举报电话:027-86699610 举报邮箱:58377363@163.com

精英家教网