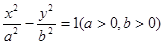
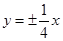
0  73826  73834  73840  73844  73850  73852  73856  73862  73864  73870  73876  73880  73882  73886  73892  73894  73900  73904  73906  73910  73912  73916  73918  73920  73921  73922  73924  73925  73926  73928  73930  73934  73936  73940  73942  73946  73952  73954  73960  73964  73966  73970  73976  73982  73984  73990  73994  73996  74002  74006  74012  74020  266669 

违法和不良信息举报电话:027-86699610 举报邮箱:58377363@163.com

精英家教网