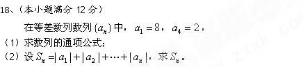
0  72308  72316  72322  72326  72332  72334  72338  72344  72346  72352  72358  72362  72364  72368  72374  72376  72382  72386  72388  72392  72394  72398  72400  72402  72403  72404  72406  72407  72408  72410  72412  72416  72418  72422  72424  72428  72434  72436  72442  72446  72448  72452  72458  72464  72466  72472  72476  72478  72484  72488  72494  72502  266669 

违法和不良信息举报电话:027-86699610 举报邮箱:58377363@163.com

精英家教网