题目内容
(本题满分12分)
已知数列{
}的首项
,通项
(
为常数),且
成等差数列,求:(1)
的值;
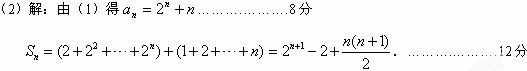
(2)数列{
}的前
项的和
的公式。
(1)解:由
,得
,……….……….1分
又
,
,且
,……….………3分
得
,……….……….4分
解得
,
.……….……….6分![]()
解析
练习册系列答案
相关题目
题目内容
(本题满分12分)
已知数列{
}的首项
,通项
(
为常数),且
成等差数列,求:(1)
的值;
(2)数列{
}的前
项的和
的公式。
(1)解:由
,得
,……….……….1分
又
,
,且
,……….………3分
得
,……….……….4分
解得
,
.……….……….6分![]()
解析