搜索
题目内容
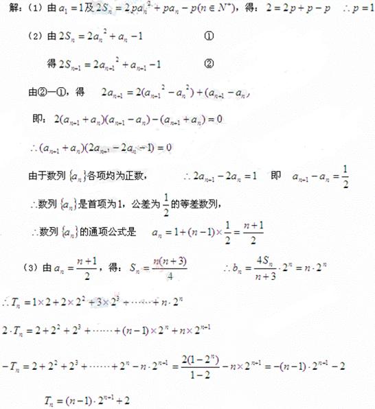
(14分)
已知各项均为正数的数列
中,
是数列
的前
项和,对任意
,有
(1)求常数
的值;
(2)求数列
的通项公式;
(3)记
,求数列
的前
项和
。
试题答案
相关练习册答案
解析
练习册系列答案
中考模拟卷江苏凤凰教育出版社系列答案
中考模拟试题汇编系列答案
中考内参系列答案
各地期末复习特训卷系列答案
全程金卷冲刺100分系列答案
快乐2加1同步练习系列答案
小博士期末闯关100分系列答案
名校名师培优全程检测卷系列答案
名师题库系列答案
本土教辅名校学案黄冈期末全程特训卷系列答案
相关题目
已知各项均为正数的数列{a
n
}满足a
n+1
2
=2a
n
2
+a
n
a
n+1
,a
2
+a
4
=2a
3
+4,其中n∈N
*
.
(Ⅰ)求数{a
n
}的通项公式;
(Ⅱ)设数{b
n
}的前n项和T
n
,令b
n
=a
n
2
,其中n∈N
*
,试比较
T
n+1
+12
4
T
n
与
2
log
2
b
n+1
+2
2
log
2
b
n
-1
的大小,并加以证明.
已知各项均为正数的数列{a
n
}满足a
n+1
2
=2a
n
2
+a
n
a
n+1
,a
2
+a
4
=2a
3
+4,其中n∈N
*
.
(Ⅰ)求数{a
n
}的通项公式;
(Ⅱ)设数{b
n
}的前n项和T
n
,令b
n
=a
n
2
,其中n∈N
*
,试比较
与
的大小,并加以证明.
已知各项均为正数的数列{a
n
}满足a
n+1
2
=2a
n
2
+a
n
a
n+1
,a
2
+a
4
=2a
3
+4,其中n∈N
*
.
(Ⅰ)求数{a
n
}的通项公式;
(Ⅱ)设数{b
n
}的前n项和T
n
,令b
n
=a
n
2
,其中n∈N
*
,试比较
T
n+1
+12
4
T
n
与
2
log
2
b
n+1
+2
2
log
2
b
n
-1
的大小,并加以证明.
已知各项均为正数的数列{a
n
}满足a
n+1
2
=2a
n
2
+a
n
a
n+1
,a
2
+a
4
=2a
3
+4,其中n∈N
*
.
(Ⅰ)求数{a
n
}的通项公式;
(Ⅱ)设数{b
n
}的前n项和T
n
,令b
n
=a
n
2
,其中n∈N
*
,试比较
与
的大小,并加以证明.
已知各项均为正数的数列{a
n
}满足a
n+1
2
=2a
n
2
+a
n
a
n+1
,a
2
+a
4
=2a
3
+4,其中n∈N
*
.
(Ⅰ)求数{a
n
}的通项公式;
(Ⅱ)设数{b
n
}的前n项和T
n
,令b
n
=a
n
2
,其中n∈N
*
,试比较
与
的大小,并加以证明.
关 闭
试题分类
高中
数学
英语
物理
化学
生物
地理
初中
数学
英语
物理
化学
生物
地理
小学
数学
英语
其他
阅读理解答案
已回答习题
未回答习题
题目汇总
试卷汇总
练习册解析答案