搜索
已知函数f(x)=sinxcosψ+cosxsinψ(其中x∈R,0<ψ<π),
(Ⅰ)求函数f(x)的最小正周期;
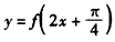
(Ⅱ)若函数
的图象关于直线x=
对称,求ψ的值。
设函数
的最小正周期为
。
(Ⅰ)求
的值;
(Ⅱ)若函数
的图象是由
的图象向右平移
个单位长度得到,求
的单调增区间。
设函数
(ω>0)的最小正周期为
。
(1)求函数f(x)的解析式;
(2)若将y= f(x)的图象向左平移
个单位可得y=g(x)的图象,求不等式
的解集。
定义行列式运算:
,将函数f(x)=
的图象向左平移m个单位(m>0),若所得图象对应的函数为偶函数,则m的最小值是
[ ]
A.
B.
C.
D.
已知
a
=(cosx+sinx,sinx),
b
=(cosx-sinx,2cosx),设f(x)=
a·b
。
(1)求函数f(x)的单调增区间;
(2)三角形ABC的三个角A,B,C所对边分别是a,b,c,且满足
,f(B)=1,
,求边c。
若函数f(x)=2sin(2x+φ)
与函数
(ω>0)的图象具有相同的对称中心,则φ=( )。
要得到
的图象,则需将y=sin2x的图象至少向左平移( )个单位即可得到。
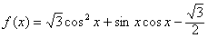
已知函数
,x∈R。
(1)求
的值;
(2)试讨论函数f(x)的基本性质(直接写出结论)。
把函数y=sinx(x∈R)的图象上所有的点向左平移
个单位长度,再把所得图象上所有点的横坐标伸长到原来的2倍(纵坐标不变),得到的图象所表示的函数为
[ ]
A、
B、
C、
D、
已知:
a
=(2cosx,sinx),
b
=(
cosx,2cosx),设函数f(x)=
a
·
b
-
(x∈R),
求:(1)f(x)的最小正周期;
(2)f(x)的单调递增区间;
(3)若
,且
,求θ。
0
18202
18210
18216
18220
18226
18228
18232
18238
18240
18246
18252
18256
18258
18262
18268
18270
18276
18280
18282
18286
18288
18292
18294
18296
18297
18298
18300
18301
18302
18304
18306
18310
18312
18316
18318
18322
18328
18330
18336
18340
18342
18346
18352
18358
18360
18366
18370
18372
18378
18382
18388
18396
266669
关 闭
试题分类
高中
数学
英语
物理
化学
生物
地理
初中
数学
英语
物理
化学
生物
地理
小学
数学
英语
其他
阅读理解答案
已回答习题
未回答习题
题目汇总
试卷汇总
练习册解析答案