题目内容
已知:a=(2cosx,sinx),b=(
cosx,2cosx),设函数f(x)=a·b-
(x∈R),
求:(1)f(x)的最小正周期;
(2)f(x)的单调递增区间;
(3)若
,且
,求θ。
求:(1)f(x)的最小正周期;
(2)f(x)的单调递增区间;
(3)若
解:
,
(1)函数f(x)的最小正周期最小正周期为
;
(2)由
,
∴
,k∈Z,
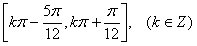
∴函数f(x)的单调增区间为
;
(3)∵
,
∴
,
∴
,∴
,
∵
,
∴
,
∴
,
∴
。
(1)函数f(x)的最小正周期最小正周期为
(2)由
∴
∴函数f(x)的单调增区间为
(3)∵
∴
∴
∵
∴
∴
∴
练习册系列答案
相关题目