搜索
某分公司经销某种品牌的产品,每件产品的成本为3元,并且每件产品需向总公司交a(3≤a≤5)元的管理费,预计当每件产品的售价为x(9≤x≤11)元时,一年的销售量为(12﹣x)
2
万件.
(1)求分公司一年的利润L(万元)与每件产品的售价x的函数关系式;
(2)当每件产品的售价为多少元时,分公司一年的利润L最大,并求出L的最大值Q(a).
已知函数f(x)=xlnx.
(1)求函数f(x)的单调区间和最小值;
(2)若函数F(x)=
在[1,e]上是最小值为
,求a的值;
(3)当b>0时,求证:
(其中e=2.718 28…是自然对数的底数).
已知函数
1nx,且m>0.
(Ⅰ)若函数f(x)在[1,+∞)上是增函数,求m的取值范围;
(Ⅱ)求函数f(x)在[1,e]的最大值和最小值.
已知函数f(x)=e
x
(x
2
+ax﹣a),其中a是常数.
(Ⅰ)当a=1时,求曲线y=f(x)在点(1,f(1))处的切线方程;
(Ⅱ)若存在实数k,使得关于x的方程f(x)=k在[0,+∞)上有两个不相等的实数根,求k的取值范围.
已知函数f(x)=2ax
3
﹣3x
2
,其中a>0.
(Ⅰ)求证:函数f(x)在区间(﹣∞,0)上是增函数;
(Ⅱ)若函数g(x)=f(x)+f′(x)(x∈[0,1])在x=0处取得最大值,求a的取值范围.
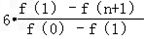
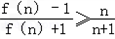
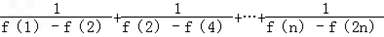
已知a为正实数,n为自然数,抛物线
与x轴正半轴相交于点A,设f(n)为该抛物线在点A处的切线在y轴上的截距。
(1)用a和n表示f(n);
(2)求对所有n都有
成立的a的最小值;
(3)当0<a<1时,比较
与
的大小,并说明理由。
已知函数f(x)=
x
3
+
x
2
-ax-a,x∈R,其中a>0。
(1)求函数f(x)的单调区间;
(2)若函数f(x)在区间(-2,0)内恰有两个零点,求a的取值范围;
(3)当a=1时,设函数f(x)在区间[t,t+3]上的最大值为M(t),最小值为m(t),记g(t)=M(t)-m(t),求函数g(t)在区间[-3,-1]上的最小值。
设函数f(x)=e
x
-ax-2。
(1)求f(x)的单调区间;
(2)若a=1,k为整数,且当x>0时,(x-k) f ′(x)+x+1>0,求k的最大值。
某地需要修建一条大型输油管道通过120公里宽的沙漠地带,该段输油管道两端的输油站已建好,余下工程只需要在该段两端已建好的输油站之间铺设输油管道和等距离修建增压站(又称泵站).经预算,修建一个增压站的工程费用为432万元,铺设距离为x公里的相邻两增压站之间的输油管道费用为x
3
+x万元.设余下工程的总费用为y万元.
(1)试将y表示成关于x的函数;
(2)需要修建多少个增压站才能使y最小?
已知函数f(x)=ax
3
+bx+c在点x=2处取得极值c-16。
(1)求a,b的值;
(2)若f(x)有极大值28,求f(x)在[-3,3]上的最小值。
0
16974
16982
16988
16992
16998
17000
17004
17010
17012
17018
17024
17028
17030
17034
17040
17042
17048
17052
17054
17058
17060
17064
17066
17068
17069
17070
17072
17073
17074
17076
17078
17082
17084
17088
17090
17094
17100
17102
17108
17112
17114
17118
17124
17130
17132
17138
17142
17144
17150
17154
17160
17168
266669
关 闭
试题分类
高中
数学
英语
物理
化学
生物
地理
初中
数学
英语
物理
化学
生物
地理
小学
数学
英语
其他
阅读理解答案
已回答习题
未回答习题
题目汇总
试卷汇总
练习册解析答案