题目内容
已知a为正实数,n为自然数,抛物线
与x轴正半轴相交于点A,设f(n)为该抛物线在点A处的切线在y轴上的截距。
(1)用a和n表示f(n);
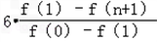
(2)求对所有n都有
成立的a的最小值;
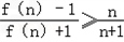
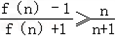
(3)当0<a<1时,比较
与
的大小,并说明理由。
(1)用a和n表示f(n);
(2)求对所有n都有
(3)当0<a<1时,比较
解:(1)∵抛物线
与x轴正半轴相交于点A,
∴A(
)对
求导得y′=-2x
∴抛物线在点A处的切线方程为
,
∴
∴f(n)为该抛物线在点A处的切线在y轴上的截距,
∴f(n)=an;
(2)由(1)知f(n)=an,则
成立的充要条件是an≥2n+1
即知,an≥2n+1对所有n成立,
特别的,取n=1得到a≥3
当a=3,n≥1时,an=3n=(1+2)n≥1+
=2n+1
当n=0时,an=2n+1
∴a=3时,对所有n都有
成立
∴a的最小值为3;
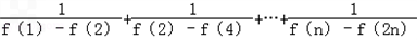
(3)由(1)知f(k)=ak,
下面证明:
>
首先证明:当0<x<1时,
设函数g(x)=6x(x2-x)+1,0<x<1,
则g′(x)=18x(x-
)
当0<x<
时,g′(x)<0;
当
时,g′(x)>0
故函数g(x)在区间(0,1)上的最小值g(x)min=g(
)=
>0
∴当0<x<1时,g(x)>0,
∴
由0<a<1知0<ak<1,因此
,
从而
=
>6(a+a2+…+an)
=
=
。
∴A(
∴抛物线在点A处的切线方程为
∴
∴f(n)为该抛物线在点A处的切线在y轴上的截距,
∴f(n)=an;
(2)由(1)知f(n)=an,则
即知,an≥2n+1对所有n成立,
特别的,取n=1得到a≥3
当a=3,n≥1时,an=3n=(1+2)n≥1+
当n=0时,an=2n+1
∴a=3时,对所有n都有
∴a的最小值为3;
(3)由(1)知f(k)=ak,
下面证明:
首先证明:当0<x<1时,
设函数g(x)=6x(x2-x)+1,0<x<1,
则g′(x)=18x(x-
当0<x<
当
故函数g(x)在区间(0,1)上的最小值g(x)min=g(
∴当0<x<1时,g(x)>0,
∴
由0<a<1知0<ak<1,因此
从而
=
=
练习册系列答案
相关题目