搜索
若对任意的x>0,恒有lnx≤px(p>0),则p的取值范围是
[ ]
A.(0,1]
B.(1,+∞)
C.(0,1)
D.[1,+∞)
若
在(-1,+∞)上是减函数,则b的取值范围是( )。
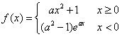
已知函数f(x)=lnx,
,设F(x)=f(x)+g(x)。
(Ⅰ)当a=1时,求函数F(x)的单调区间;
(Ⅱ)若以函数y=F(x)(0<x≤3)图象上任意一点
为切点的切线斜率
恒成立,求实数a的最小值。
函数
在(-∞,+∞)上单调,则a的取值范围是
[ ]
A、(-∞,-
]∪(1,
]
B、[-
,-1)∪[
,+∞)
C、(1,
]
D、[
,+∞)
若
在(-1,+∞)上是减函数,则b的取值范围是
[ ]
A.[-1,+∞)
B.(-∞,-1)
C.(-1,+∞)
D.(-∞,-1]
函数f(x)=2x
2
-lnx的递增区间是
[ ]
A.
B.
和
C.
D.
和
设函数f(x)=x(e
x
-1)-ax
2
。
(Ⅰ)若
,求f(x)的单调区间;
(Ⅱ)若当x≥0时,f(x)≥0,求a的取值范围。
已知函数
(a,b∈R),
(1)若y=f(x)的图象在点(1,f(1))处的切线方程为x+y-3=0,求实数a、b 的值;
(2)若f(x)在(-1,1)上不单调,求实数a的取值范围。
已知函数f(x)=(x
2
-ax)e
-x
(a∈R)。
(1)当a=2时,求函数f(x)的单调递减区间;
(2)若函数f(x)在(-1,1)上单调递减,求a的取值范围;
(3)函数f(x)可否为R上的单调函数,若是,求出a的取值范围,若不是,请说明理由.
已知f(x)=ln(1+x)-
(a>0)。
(I)若f(x)在(0,+∞)内为单调增函数,求a的取值范围;
(Ⅱ)若函数f(x)在x=0处取得极小值,求a的取值范围。
0
16692
16700
16706
16710
16716
16718
16722
16728
16730
16736
16742
16746
16748
16752
16758
16760
16766
16770
16772
16776
16778
16782
16784
16786
16787
16788
16790
16791
16792
16794
16796
16800
16802
16806
16808
16812
16818
16820
16826
16830
16832
16836
16842
16848
16850
16856
16860
16862
16868
16872
16878
16886
266669
关 闭
试题分类
高中
数学
英语
物理
化学
生物
地理
初中
数学
英语
物理
化学
生物
地理
小学
数学
英语
其他
阅读理解答案
已回答习题
未回答习题
题目汇总
试卷汇总
练习册解析答案