题目内容
已知f(x)=ln(1+x)-
(a>0)。
(I)若f(x)在(0,+∞)内为单调增函数,求a的取值范围;
(Ⅱ)若函数f(x)在x=0处取得极小值,求a的取值范围。
(I)若f(x)在(0,+∞)内为单调增函数,求a的取值范围;
(Ⅱ)若函数f(x)在x=0处取得极小值,求a的取值范围。
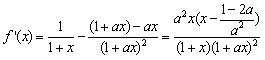
解:由
,得
,
(Ⅰ)∵f(x)在
内为单调增函数,
∴
在
上恒成立,
又a>0,
∴
在
上恒成立,
∴
,∴
。
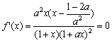
(Ⅱ)由
得x1=0,
(a>0),
∴当
时,由
得
;
由
得
,
∴f(x)在
处取得极小值(不合题意);
当
时,
对
恒成立,
∴f(x)在定义域内无极小值;
当
时,由
得
,
由
,得
;
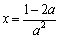
可得函数f(x)在x=0处取极小值时,
.
(Ⅰ)∵f(x)在
∴
又a>0,
∴
∴
(Ⅱ)由
∴当
由
∴f(x)在
当
∴f(x)在定义域内无极小值;
当
由
可得函数f(x)在x=0处取极小值时,
练习册系列答案
相关题目