题目内容

22. 设a>0,如图,已知直线ly=ax及曲线Cy=x2C上的点Q1的横坐标为a1(0<a1<a).从C上的点Qn

 

(n≥1)作直线平行于x轴,交直线l于点Pn+1,再从点Pn+1作直线平行于y轴,交曲线C于点Qn+1. Qn

 

(n=1,2,3,…)的横坐标构成数列{an}.

(Ⅰ)试求an+1an的关系,并求{an}的通项公式;

 

(Ⅱ)当a=1,a1时,证明

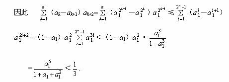
(Ⅲ)当a=1时,证明.

 

 

 

(Ⅲ)证明:由(Ⅰ)知,当a=1时,an=Equation.3.

 

 


练习册系列答案
相关题目

违法和不良信息举报电话:027-86699610 举报邮箱:58377363@163.com

精英家教网