题目内容
在区间[0,
]上随机取一个数x,则事件“
”发生的概率为( )
A.
B.
C.
D.![]()
【答案】
C
【解析】
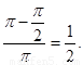
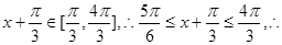
试题分析:由
可得,2(
,![]()
,又因为
,所以![]()
,所以p=
选C.
考点:三角函数和古典概型.
练习册系列答案
相关题目
题目内容
在区间[0,
]上随机取一个数x,则事件“
”发生的概率为( )
A.
B.
C.
D.![]()
C
【解析】
试题分析:由
可得,2(
,![]()
,又因为
,所以![]()
,所以p=
选C.
考点:三角函数和古典概型.