题目内容
已知函数(1)判断函数f(x)的奇偶性,并说明理由;
(2)指出函数f(x)在区间
【答案】分析:(1)根据奇偶性的定义,判断f(-x)与f(x)之间的关系,即可判断函数f(x)的奇偶性;
(2)利用原始的定义进行证明,在区间
,+∞)上任取x1,x2且x1<x2,只要证f(x2)>f(x1)就可以可,把x1和x2分别代入函数f (x)进行证明.
解答:解:(1)∵函数的定义域(-∞,
∪(
,+∞)关于原点对称.
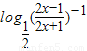
且
=
=
=-f(x),
所以函数f(x)是奇函数.
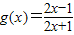
(2)设
=
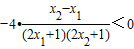
.设-m<x1<x2,则g(x1)-g(x2)=
,
因为m<0,
,所以x2-x1>0,2x1+1>0,2x2+1>0,
所以
,即g(x1)<g(x2),
因为
是减函数,所以
,即f(x1)>f(x2),
所以f(x)在
,+∞)上是减函数.
点评:此题主要考查多项式函数的定义域、奇偶性和单调性,解题的关键是利用定义进行证明,是一道基础题.
(2)利用原始的定义进行证明,在区间
解答:解:(1)∵函数的定义域(-∞,
且
所以函数f(x)是奇函数.
(2)设
因为m<0,
所以
因为
所以f(x)在
点评:此题主要考查多项式函数的定义域、奇偶性和单调性,解题的关键是利用定义进行证明,是一道基础题.
练习册系列答案
相关题目
已知函数f(x)=
,则它是( )
| ||
| |x-3|-3 |
| A、奇函数 | B、偶函数 |
| C、既奇又偶函数 | D、非奇非偶函数 |
已知函数f(x)=
则“-2≤a≤0”是“f(x)在R上单调递增”的( )
|
| A、充分而不必要条件 |
| B、必要而不充分条件 |
| C、充分必要条件 |
| D、既不充分也不必要条件 |