题目内容
如图所示,某地一天从6时至14时的温度变化曲线近似满足函数y=Asin(ωx+φ)+b。
(Ⅰ)求这段时间的最大温差;
(Ⅱ)写出这段曲线的函数解析式;
(Ⅲ)如果一天24小时内的温度均近似符合该函数关系式,求一天中温度不小于25℃的时间有多长?
(Ⅱ)写出这段曲线的函数解析式;
(Ⅲ)如果一天24小时内的温度均近似符合该函数关系式,求一天中温度不小于25℃的时间有多长?
解:(1)由图所示,这段时间的最大温差是30-10=20℃。
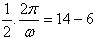
(2)图中从6时到14时的图象是函数y=Asin(ωx+φ)+b的半个周期
∴
解得
由图所示
A=
(30-10)=10,
这时
将x=6,y=10代入上式,可取
综上,所求的解析式为
。
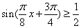
(3)
,
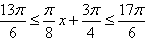
解之得
取k=0,k=1可得
或
即0≤x≤
或
∴一天中温度超过25℃的时间为
小时。
(2)图中从6时到14时的图象是函数y=Asin(ωx+φ)+b的半个周期
∴
解得
由图所示
A=
这时
将x=6,y=10代入上式,可取
综上,所求的解析式为
(3)
解之得
取k=0,k=1可得
即0≤x≤
∴一天中温度超过25℃的时间为
练习册系列答案
相关题目
A、f(x)=12sin(
| ||||
B、f(x)=6sin(
| ||||
C、f(x)=6sin(
| ||||
D、f(x)=12sin(
|