搜索
题目内容
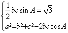
在△ABC中,A=60°,S
△ABC
=
,
,求b。
试题答案
相关练习册答案
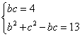
解:∵
∴
∵
∴
∴
或
∴b=1或4。
练习册系列答案
夺冠金卷全能练考系列答案
小升初3年真题原卷系列答案
北斗星小学毕业升学系统总复习系列答案
学习总动员寒假总复习系列答案
湘岳假期寒假作业系列答案
寒假园地青岛出版社系列答案
寒假作业与生活陕西人民教育出版社系列答案
寒假作业陕西旅游出版社系列答案
寒假作业完美假期生活湖南教育出版社系列答案
寒假作业新世界出版社系列答案
相关题目
在△ABC中,∠A=
π
6
,D是BC边上任意一点(D与B、C不重合),且丨
AB
|
2
=
|
AD
|
2
+
BD
•
DC
,则∠B=
.
在△ABC中,a=6,b=4,C=30°,则△ABC的面积是( )
A、12
B、6
C、
12
3
D、
8
3
在△ABC中,
∠A=
π
6
,
∠C=
π
2
,
|AC|=
3
,M是AB的中点,那么
(
CA
-
CB
)•
CM
=( )
A.1
B.-1
C.
3
D.
-
3
在△ABC中,
∠A=
π
6
,D是BC边上任意一点(D与B,C不重合)且
|
AB
|
2
=|
AD
|
2
+
BD
•
DC
,则∠B
=( )
A.
π
12
B.
5π
12
C.
π
4
D.
7π
12
在△ABC中,a=
6
,b=2,c=
3
+1,求A、B、C及S
△ABC
.
关 闭
试题分类
高中
数学
英语
物理
化学
生物
地理
初中
数学
英语
物理
化学
生物
地理
小学
数学
英语
其他
阅读理解答案
已回答习题
未回答习题
题目汇总
试卷汇总
练习册解析答案