题目内容
设数列{an}的首项a1∈(0,1),an=
,n=2,3,4,…
(Ⅰ)求{an}的通项公式;
(Ⅱ)设bn=an
,证明bn<bn+1,其中n为正整数。
(Ⅰ)求{an}的通项公式;
(Ⅱ)设bn=an
解:(Ⅰ)由
,
整理得
,
又
,
所以
是首项为
,公比为
的等比数列,
得
;
(Ⅱ)由(Ⅰ)可知
,故
,
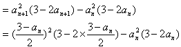
那么

,
又由(Ⅰ)知
,故
,
因此
,n为正整数。
整理得
又
所以
得
(Ⅱ)由(Ⅰ)可知
那么
又由(Ⅰ)知
因此
练习册系列答案
相关题目