题目内容
若正数x,y满足x+3y=5xy,则3x+4y的最小值是 .
【答案】分析:将方程变形
,代入可得3x+4y=(3x+4y)(
)=
×3,然后利用基本不等式即可求解.
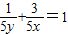
解答:解:∵x+3y=5xy,x>0,y>0
∴
∴3x+4y=(3x+4y)(
)=
×3
=5
当且仅当
即x=2y=1时取等号
故答案为:5
点评:本题主要考查了利用基本不等式求解最值问题,解题的关键是基本不等式的应用条件的配凑
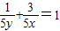
解答:解:∵x+3y=5xy,x>0,y>0
∴
∴3x+4y=(3x+4y)(
当且仅当
故答案为:5
点评:本题主要考查了利用基本不等式求解最值问题,解题的关键是基本不等式的应用条件的配凑
练习册系列答案
相关题目