ÌâÄ¿ÄÚÈÝ
ijÔìÖ½³§Ä⽨һ×ùÆ½ÃæÍ¼ÐÎΪ¾ØÐÎÇÒÃæ»ýΪ162ƽ·½Ã×µÄÈý¼¶ÎÛË®´¦Àí³Ø£¬³ØµÄÉî¶ÈÒ»¶¨£¨Æ½ÃæÍ¼ÈçͼËùʾ£©£¬Èç¹û³ØËÄÖÜΧǽ½¨Ôìµ¥¼ÛΪ400Ôª/Ã×£¬ÖмäÁ½µÀ¸ôǽ½¨Ôìµ¥¼ÛΪ248Ôª/Ã×£¬³Øµ×½¨Ôìµ¥¼ÛΪ80Ôª/Ã×2£¬Ë®³ØËùÓÐǽµÄºñ¶ÈºöÂÔ²»¼Æ£¬
£¨1£©ÊÔÉè¼ÆÎÛË®´¦Àí³ØµÄ³¤ºÍ¿í£¬Ê¹×ÜÔì¼Û×îµÍ£¬²¢Çó³ö×îµÍ×ÜÔì¼Û£»
£¨2£©ÈôÓÉÓÚµØÐÎÏÞÖÆ£¬¸Ã³ØµÄ³¤ºÍ¿í¶¼²»Äܳ¬¹ý16Ã×£¬ÊÔÉè¼ÆÎÛË®³ØµÄ³¤ºÍ¿í£¬Ê¹×ÜÔì¼Û×îµÍ¡£
£¨1£©ÊÔÉè¼ÆÎÛË®´¦Àí³ØµÄ³¤ºÍ¿í£¬Ê¹×ÜÔì¼Û×îµÍ£¬²¢Çó³ö×îµÍ×ÜÔì¼Û£»
£¨2£©ÈôÓÉÓÚµØÐÎÏÞÖÆ£¬¸Ã³ØµÄ³¤ºÍ¿í¶¼²»Äܳ¬¹ý16Ã×£¬ÊÔÉè¼ÆÎÛË®³ØµÄ³¤ºÍ¿í£¬Ê¹×ÜÔì¼Û×îµÍ¡£
![]()
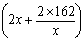
½â£º£¨1£©ÉèÎÛË®´¦Àí³ØµÄ¿íΪxÃ×£¬Ôò³¤Îª
Ã×£¬
Ôò×ÜÔì¼Ûf(x)=400¡Á
+248¡Á2x+80¡Á162
=1 296x+
+12 960
=1 296
+12 960
¡Ý1 296¡Á2
+12 960=38 880£¨Ôª£©£¬
µ±ÇÒ½öµ±x=
(x£¾0)£¬¼´x=10ʱȡµÈºÅ£¬
¡àµ±³¤Îª16.2Ã×£¬¿íΪ10Ã×ʱ×ÜÔì¼Û×îµÍ£¬×îµÍ×ÜÔì¼ÛΪ38 880Ôª£»
£¨2£©ÓÉÏÞÖÆÌõ¼þÖª
£¬
¡à10
¡Üx¡Ü16£¬
Éèg(x)=x+
£¬
g£¨x£©ÔÚ
ÉÏÊÇÔöº¯Êý£¬
¡àµ±x=10
ʱ(´Ëʱ
=16)£¬g(x)ÓÐ×îСֵ£¬¼´f(x)ÓÐ×îСֵ£¬
¡àµ±³¤Îª16Ã×£¬¿íΪ10
Ã×ʱ£¬×ÜÔì¼Û×îµÍ¡£
Ôò×ÜÔì¼Ûf(x)=400¡Á
=1 296x+
=1 296
¡Ý1 296¡Á2
µ±ÇÒ½öµ±x=
¡àµ±³¤Îª16.2Ã×£¬¿íΪ10Ã×ʱ×ÜÔì¼Û×îµÍ£¬×îµÍ×ÜÔì¼ÛΪ38 880Ôª£»
£¨2£©ÓÉÏÞÖÆÌõ¼þÖª
¡à10
Éèg(x)=x+
g£¨x£©ÔÚ
¡àµ±x=10
¡àµ±³¤Îª16Ã×£¬¿íΪ10
Á·Ï°²áϵÁдð°¸
Ïà¹ØÌâÄ¿