题目内容
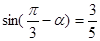
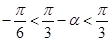
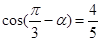
若
,
,
,则
的值为
.
【答案】
![]()
【解析】
试题分析:因为,
,所以,
,
,
又
,
,所以,
,
,![]()
=![]()
考点:同角公式,两角和与差的三角函数.
练习册系列答案
相关题目
题目内容
若
,
,
,则
的值为
.
![]()
【解析】
试题分析:因为,
,所以,
,
,
又
,
,所以,
,
,![]()
=![]()
考点:同角公式,两角和与差的三角函数.