题目内容
证明下列不等式:
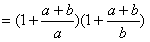
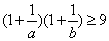
(1)a,b都是正数,且a+b=1,求证:(1+
)(1+
)≥9;
(2)设实数x,y满足y+x2=0,且0<a<1,求证:loga(ax+ay)<
loga2。
(1)a,b都是正数,且a+b=1,求证:(1+
(2)设实数x,y满足y+x2=0,且0<a<1,求证:loga(ax+ay)<
解:(1)![]()
![]()
![]()
![]()
∵a>0,b>0
∴![]()
∴
;
(2)∵![]()
∴![]()
又因为![]()
∴
+![]()
∵y+x2=0
∴![]()
![]()
又上式中等号不能同时取到,所以原不等式得证。
练习册系列答案
相关题目