题目内容
设数列{an}的前n项和为Sn,点
(n∈N*)均在函数y=3x-2的图象上,
(1)求数列{an}的通项公式;
(2)设
,Tn是数列{bn}的前n项和,求使得
对所有n∈N*都成立的最小正整数m.
(1)求数列{an}的通项公式;
(2)设
解:(1)依题意得,
,即
,
当n≥2时,
;
当n=1时,
适合,
所以
。
(2)由(1)得
,
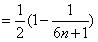
故
,
因此,使得
成立的m必须满足
,即
,
故满足要求的最小整数m为10。
当n≥2时,
当n=1时,
所以
(2)由(1)得
故
因此,使得
故满足要求的最小整数m为10。
练习册系列答案
相关题目