题目内容
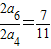
等差数列{an}的前n项和为Sn,若A.-1
B.1
C.2
D.
【答案】分析:由已知结合等差数列的性质可得,
=
,代入等差数列的求和公式即可求解
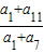
解答:解:∵
∴
即
=
则
=
=
=1
故选B
点评:本题主要考查了等差数列的性质及等差数列的求和公式的简单应用,属于基础试题
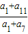
解答:解:∵
∴
即
则
故选B
点评:本题主要考查了等差数列的性质及等差数列的求和公式的简单应用,属于基础试题
练习册系列答案
相关题目
设等差数列{an}的前n项和为Sn,则a5+a6>0是S8≥S2的( )
| A、充分而不必要条件 | B、必要而不充分条件 | C、充分必要条件 | D、既不充分也不必要条件 |