题目内容
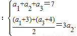
设{an}是公比大于1的等比数列,Sn为数列{an}的前n项和.已知S3=7,且a1+3,3a2,a3+4构成等差数列.(1)求数列{an}的通项公式;
(2)令
【答案】分析:(1)根据等比数列的前n项和和等差数列的性质,列出方程组,求出a2,进而求出公比和a1;
(2)首先写出数列{bn}的通项公式,然后写出数列{bn}的前n项和Tn,再利用裂项求和,和等比数列前n项和公式求和即可.
解答:解:(1)由已知得
解得a2=2.
设数列{an}的公比为q,由a2=2,可得
.
又S3=7,可知
,
即2q2-5q+2=0,
解得
.
由题意得q>1,∴q=2.∴a1=1.
故数列{an}的通项为an=2n-1.
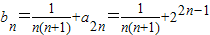
(2)
Tn=(
+2)+(
+23)+…+[
+22n-1]
=[
+
+…+
]+(2+23+…+22n-1)
=[(1-
)+(
)+…+(
)]+
=(1-
)+
=
点评:本题考查了等比数列的通项公式和数列的求和,此题采取的分组求和和裂项的方法求数列的前n项和,是两种常用方法要熟练掌握,属于中档题.
(2)首先写出数列{bn}的通项公式,然后写出数列{bn}的前n项和Tn,再利用裂项求和,和等比数列前n项和公式求和即可.
解答:解:(1)由已知得
解得a2=2.
设数列{an}的公比为q,由a2=2,可得
又S3=7,可知
即2q2-5q+2=0,
解得
由题意得q>1,∴q=2.∴a1=1.
故数列{an}的通项为an=2n-1.
(2)
Tn=(
=[
=[(1-
=(1-
=
点评:本题考查了等比数列的通项公式和数列的求和,此题采取的分组求和和裂项的方法求数列的前n项和,是两种常用方法要熟练掌握,属于中档题.
练习册系列答案
相关题目