题目内容
椭圆A.
B.
C.
D.
【答案】分析:由题意,椭圆上存在点P,使得线段AP的垂直平分线过点F,即F点到P点与A点的距离相等,根据|PF|的范围求得|FA|的范围,进而求得
的范围即离心率e的范围.
解答:解:由题意,椭圆上存在点P,使得线段AP的垂直平分线过点F,即F点到P点与A点的距离相等
而|FA|=
|PF|∈[a-c,a+c]
于是
∈[a-c,a+c]
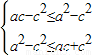
即ac-c2≤b2≤ac+c2
∴

又e∈(0,1)
故e∈
.
故选D.
点评:本题主要考查椭圆的基本性质,注意在解不等式过程中将
看作整体,属基础题.
解答:解:由题意,椭圆上存在点P,使得线段AP的垂直平分线过点F,即F点到P点与A点的距离相等
而|FA|=
|PF|∈[a-c,a+c]
于是
即ac-c2≤b2≤ac+c2
∴
又e∈(0,1)
故e∈
故选D.
点评:本题主要考查椭圆的基本性质,注意在解不等式过程中将
练习册系列答案
相关题目