题目内容
已知椭圆(Ⅰ)求椭圆的方程;
(Ⅱ)过左焦点F的直线与椭圆分别交于A、B两点,若线段AB的长为
【答案】分析:(Ⅰ)由椭圆
(a>b>0)右顶点到右焦点的距离为
,短轴长为
,建立方程组,即可求得椭圆方程;
(Ⅱ)当直线AB与x轴垂直时,|AB|=
,不符合题意;当直线AB与x轴不垂直时,设直线AB的方程为:y=k(x+1),代入消去y,利用韦达定理计算|AB|,结合线段AB的长为
,即可求得k的值,从而可得直线AB的方程.
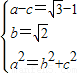
解答:解:(Ⅰ)由题意,
,解得a=
,c=1.
∴椭圆方程为
------------(4分)
(Ⅱ)当直线AB与x轴垂直时,|AB|=
,不符合题意故舍掉;-----------(6分)
当直线AB与x轴不垂直时,设直线AB的方程为:y=k(x+1),
代入消去y得:(2+3k2)x2+6k2x+(3k2-6)=0.
设A(x1,y1),B(x2,y2),则x1+x2=
,x1x2=
-----------(8分)
所以|AB|=
,------------(11分)
∵线段AB的长为
,
∴
=
∴k2=2
∴k=
,------------(13分)
所以直线AB的方程为:
或
.---------(14分)
点评:本题考查椭圆的标准方程,考查直线与椭圆的位置关系,考查弦长的计算,联立方程,正确运用韦达定理是关键.
(Ⅱ)当直线AB与x轴垂直时,|AB|=
解答:解:(Ⅰ)由题意,
∴椭圆方程为
(Ⅱ)当直线AB与x轴垂直时,|AB|=
当直线AB与x轴不垂直时,设直线AB的方程为:y=k(x+1),
代入消去y得:(2+3k2)x2+6k2x+(3k2-6)=0.
设A(x1,y1),B(x2,y2),则x1+x2=
所以|AB|=
∵线段AB的长为
∴
∴k2=2
∴k=
所以直线AB的方程为:
点评:本题考查椭圆的标准方程,考查直线与椭圆的位置关系,考查弦长的计算,联立方程,正确运用韦达定理是关键.
练习册系列答案
相关题目