题目内容
已知向量
=(m,-1),
=(sinx,cosx),f(x)=
且满足
,
(1)求函数y=f(x)的解析式;
(2)求函数y=f(x)的最大值及其对应的x值;
(3)若f(α)=
,求
的值。
(1)求函数y=f(x)的解析式;
(2)求函数y=f(x)的最大值及其对应的x值;
(3)若f(α)=
解:(1)f(x)=
,
,即
,
所以m=1,
所以
;
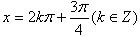
(2)
,
当
,即
时,
。
(3)
,即
,
两边平方得:
,
所以
,
。
所以m=1,
所以
(2)
当
(3)
两边平方得:
所以
练习册系列答案
相关题目