题目内容
对任意的a、b、c∈R+,代数式
【答案】分析:根据表达式,分解分式的分子,利用基本不等式求解即得.
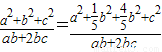
解答:解:任意的a,b、c∈R+,有
=
,
当且仅当
时取等号,即c=2a,b=
a,所求表达式的最小值为:
.
故答案为:
.
点评:本小题主要考查基本不等式,考查运算求解能力,考查化归与转化思想.属于中档题.
解答:解:任意的a,b、c∈R+,有
当且仅当
故答案为:
点评:本小题主要考查基本不等式,考查运算求解能力,考查化归与转化思想.属于中档题.
练习册系列答案
相关题目