题目内容

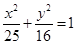
设椭圆C:过点(0,4),离心率为

(Ⅰ)求C的方程;(Ⅱ)求过点(3,0)且斜率为的直线被C所截线段的长度.

 

【答案】

 

【解析】

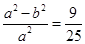
试题分析:(1)椭圆的方程是标准方程,已知椭圆过点,这必定是椭圆的顶点,从而易知(当然也可直接把代入椭圆方程解出),再由离心率为,可求出.得椭圆的方程.(2)这是直线与椭圆相交求相交弦长的问题,我们可以用相交弦长公式求解,这里是直线的斜率,是交点的横坐标.

试题解析:(Ⅰ)将(0,4)代入C的方程得 ∴,又  得, 

 ∴C的方程为

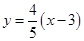
( Ⅱ)过点且斜率为的直线方程为

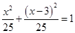
设直线与C的交点为A,B,将直线方程代入C的方程,得,即 

.

考点:(1)椭圆的顶点与离心率;(2)直线与椭圆相交弦长问题.

 

练习册系列答案
相关题目

违法和不良信息举报电话:027-86699610 举报邮箱:58377363@163.com

精英家教网