题目内容
已知{an}是各项均为正数的等比数列,a1=2,a3=18,其前 n项和为Sn;{bn}是等差数列,b1=2,其前n项和为Tn,若S3=T4.(1)求数列{bn}的通项公式;
(2)设Pn=b1+b4+b7+…+b3n-2,Qn=b10+b12+b14+…+b2n+8,试比较P19与Q19的大小.
【答案】分析:(1)设{an}的公比是q,{bn}的公差为d,根据题意建立关于q、d的方程并解出q=d=3,结合等差数列的通项公式,即可得到数列{bn}的通项公式;
(2)由等差数列的性质,可得b1、b4、b7、…、b3n-2组成以新的等差数列,结合等差数列求和公式算出Pn=
(9n2-5n),可得P19=1577;同理可以算出Qn=3n2+26n,从而Q19=1577,得到P19与Q19的大小关系是相等.
解答:解:(1)设{an}的公比是q,{bn}的公差为d
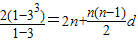
由
,可得
,得an=2•3n-1 (2分)
由S3=T4,可得
,得公差d=3 (4分)
∴bn=2+3(n-1)=3n-1; (6分)
(2)∵{bn}是等差数列,公差为d
∴b1、b4、b7、…、b3n-2,…组成以3d为公差的等差数列
∴Pn=
=
(9n2-5n),取n=19得P19=1577 (9分)
同理可得Qn=
=3n2+26n,取n=19得Q19=1577 (12分)
∴P19=Q19.
点评:本题给出等差数列和等比数列满足的条件,求它们的通项公式,并比较两个前n项和的大小.着重考查了等差数列与等比数列的通项公式、前n项和公式等知识,属于中档题.
(2)由等差数列的性质,可得b1、b4、b7、…、b3n-2组成以新的等差数列,结合等差数列求和公式算出Pn=
解答:解:(1)设{an}的公比是q,{bn}的公差为d
由
由S3=T4,可得
∴bn=2+3(n-1)=3n-1; (6分)
(2)∵{bn}是等差数列,公差为d
∴b1、b4、b7、…、b3n-2,…组成以3d为公差的等差数列
∴Pn=
同理可得Qn=
∴P19=Q19.
点评:本题给出等差数列和等比数列满足的条件,求它们的通项公式,并比较两个前n项和的大小.着重考查了等差数列与等比数列的通项公式、前n项和公式等知识,属于中档题.
练习册系列答案
相关题目