题目内容
椭圆短轴的一个端点与两个焦点组成一个正三角形,焦点到椭圆长轴端点的最短距离为
【答案】分析:当焦点在x轴时,设椭圆方程为
,由题意得到a、b、c之间的关系求出其,进而得到椭圆的方程.当焦点在y轴时,同理可得椭圆方程的方程.
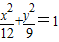
解答:解:当焦点在x轴时,设椭圆方程为
,
由题意知a=2c,a-c=
,
解得a=2
,c=
,
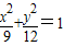
所以b2=9,所求的椭圆方程为
.
同理,当焦点在y轴时,所求的椭圆方程为
.
点评:解决此类问题的关键是熟练掌握椭圆的标准方程,以及a、b、c之间的关系.
解答:解:当焦点在x轴时,设椭圆方程为
由题意知a=2c,a-c=
解得a=2
所以b2=9,所求的椭圆方程为
同理,当焦点在y轴时,所求的椭圆方程为
点评:解决此类问题的关键是熟练掌握椭圆的标准方程,以及a、b、c之间的关系.
练习册系列答案
相关题目