题目内容
等差数列{an}的前n项和为Sn,且a3=5,S15=225.(1)数列{bn}满足:
(2)设
【答案】分析:(1)由a3=5,S15=225列式求出数列{an}的首项和公差,写出通项公式,然后根据
,采用累加法求数列{bn}的通项公式;
(2)把an的通项公式代入
,整理后采用分组求和求数列{cn}的前n项和Tn.
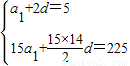
解答:解:(1)设等差数列{an}的公差为d,由已知得:
,
解得:a1=1,d=2
∴an=2n-1,
又bn=b1+(b2-b1)+(b3-b2)+…+(bn-bn-1)=1+a1+a2+…+an-1=
.
(2)
∴
=
.
点评:本题考查了数列的求和,考查了等差数列的前n项和、等比数列的前n项和与分组求和,考查了学生的运算能力,此题为中档题.
(2)把an的通项公式代入
解答:解:(1)设等差数列{an}的公差为d,由已知得:
解得:a1=1,d=2
∴an=2n-1,
又bn=b1+(b2-b1)+(b3-b2)+…+(bn-bn-1)=1+a1+a2+…+an-1=
(2)
∴
点评:本题考查了数列的求和,考查了等差数列的前n项和、等比数列的前n项和与分组求和,考查了学生的运算能力,此题为中档题.
练习册系列答案
相关题目
设等差数列{an}的前n项和为Sn,则a5+a6>0是S8≥S2的( )
| A、充分而不必要条件 | B、必要而不充分条件 | C、充分必要条件 | D、既不充分也不必要条件 |