题目内容
设函数f(x)与g(x)的定义域是x∈R且x≠±1,f(x)是偶函数,g(x)是奇函数,且f(x)+g(x)=
【答案】分析:题目给出了相同定义域上的两个函数,且给出了两函数解析式的和,可借助于f(x)和g(x)的奇偶性,取x=-x,得到关于f(x)和g(x)的另一方程,联立方程组求解即可,
解答:解:∵f(x)是偶函数,g(x)是奇函数,∴f(-x)=f(x),且g(-x)=-g(x)
由
①
得
,
即
②
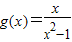
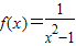
联立①②解得:
,
.
点评:本题考查了函数的奇偶性,考查了方程思想,解答此题的关键是借助于函数的奇偶性得到关于f(x)和g(x)的另外一个方程,是求函数解析式的一种方法.
解答:解:∵f(x)是偶函数,g(x)是奇函数,∴f(-x)=f(x),且g(-x)=-g(x)
由
得
即
联立①②解得:
点评:本题考查了函数的奇偶性,考查了方程思想,解答此题的关键是借助于函数的奇偶性得到关于f(x)和g(x)的另外一个方程,是求函数解析式的一种方法.
练习册系列答案
相关题目